使用Graphviz做有向图
http://www.graphviz.org/是一个比较简单的画图程序,之前看别人用这个自动画图生成上百个系统的依赖关系觉得挺玄乎的。今天照着http://www.ibm.com/developerworks/cn/aix/library/au-aix-graphviz/ 简单学习了一下。
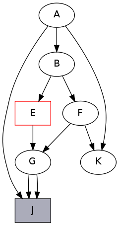
digraph G{
A->B;
E [shape=box,color=red]
J [shape=box, fillcolor="#ABACBA", style=filled]
B-> { E;F } -> G ->J;
{ A;G } -> J;
{A;F}->K;
}

参考文档:
http://www.ibm.com/developerworks/cn/aix/library/au-aix-graphviz/
http://www.graphviz.org/content/attrs
http://blog.163.com/prevBlogPerma.do?host=lockriver&srl=487232242010101761749383&mode=prev